Mathematics for Biomedical Engineering
Sample Problems
SECOND ORDER ORDINARY DIFFERENTIAL EQUATIONS
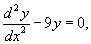
1. Find the complementary function (and thus the general solution) of the following homogeneous second order linear differential equations:
(i) ![]()
(ii) ![]()
(iii) ![]()
(iv) ![]()
(v) ![]()
[Ans. (i)
, (ii)
, (iii)
, (iv)
, (v)
].
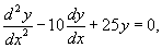
2. Find the particular solution of the following homogeneous second order linear differential equations:
(i)
,
(ii)
.
[Ans. (i)
, (ii)
].
3. Find the general solution of the inhomogeneous second order linear differential equation,
![]()
[Ans.
].
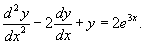
4. Find the general solution of the inhomogeneous second order linear differential equation,
![]()
[Ans.
].
5. Find the particular solution of the inhomogeneous second order linear differential equation,
![]()
.
[Ans.
].
6. Find the general solution of the inhomogeneous second order linear differential equation,
![]()
[Ans.
].
7. Find the particular solution of the inhomogeneous second order linear differential equation,
![]()
![]()
[Ans.
].
8. The charge, q, on a capacitor in an LCR circuit satisfies the second order differential equation
,
where
and E are constants. Show that if
then the general solution of the this equation is

If
and
when
show that the instantaneous current in the circuit is given by

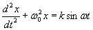
9. The displacement, x, of a periodically forced undamped harmonic oscillator satisfies the second order differential equation
![]()
where
is the undamped natural frequency of the oscillator and k and
are the amplitude and frequency respectively of the periodic force applied. Suppose
, then find the general solution to this equation in the cases:
(i)
,
(ii)
.
In case (ii) what happens to the oscillator as time t increases?
[Ans. (i)
(ii)
as t increases the displacement x evolves linearly with t and resonance occurs.].
MJC