Skip to main content Skip to navigation

Mathematics for Biomedical Engineering

Sample Problems
APPLICATIONS OF INTEGRATION II

 

 

 

1. Find the length of the curve image placeholder between image placeholderand image placeholder

[Ans. image placeholder]

 

2. Find the length of the cycloid parameterised by image placeholder between image placeholder and image placeholder.image placeholder

[Ans. 8]

 

3. Find the area of the surface of revolution generated by the curve image placeholder when it is rotated about the

x–axis between image placeholderand image placeholder.

[Ans.image placeholder.

 

4. Find the area of the surface of revolution generated by the curve image placeholderwhen it is rotated about the x-axis between image placeholder and image placeholder.

[Ans.image placeholder]

 

5. Find the moment of inertia of a thin rod of length image placeholderand mass M about an axis normal to its length and acting through the rod at a distance image placeholderfrom one end.

[Ans.image placeholder]

 

6. Find the moment of inertia of an annular lamina of mass M with inner radius image placeholderand outer radius image placeholder about a line L through its centre which is normal to its plane.

[Ans.image placeholder]

 

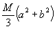
7. Find the moment of inertia of a thin rectangular plate of mass M, length image placeholderand width image placeholderabout an axis through its centre of gravity which is normal to its plane.

[Ans.image placeholder]

 

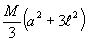
8. Find the moment of inertia of a thin square plate of mass M and side length image placeholderabout a line image placeholder which lies in the same plane as the plate and which is parallel to, and at a distance image placeholderfrom, a line L that passes vertically through the centre of gravity of the plate.

[Ans.image placeholder]

.

9. Find both the mean and root-mean-square values of the following functions over the given intervals:

(i) image placeholder image placeholder,

(ii) image placeholder image placeholder.

[Ans. (i) mean value = 19/3, r.m.s. value=image placeholder, (ii) mean value = 2+image placeholder, r.m.s. value = image placeholder].

MJC

Let us know you agree to cookies