Mathematics for Biomedical Engineering
Sample Problems
INTEGRATION I
1. Evaluate the indefinite integrals:
(i) ![]()
(ii) ![]()
[Ans. (i)
(ii)
]
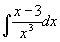
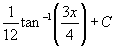
2. Evaluate the indefinite integrals:
(i) ![]()
(ii) ![]()
[Ans. (i)
(ii)
]
3. Calculate the area under the curve
between x = 1 and x = 2.
[Ans. 15/4]
4. Calculate the area bounded by the curves
and
over the region
.
[Ans. 3π ]
5. Evaluate the definite integrals:
(i) 
(ii)
(Hint: Use integration by parts)
[Ans. (i)
(ii)
]
6. Using integration by parts evaluate the indefinite integral
![]()
[Ans.
]
7. Using integration by parts evaluate the definite integral
![]()
[Ans.
]
8. Evaluate the improper integral
![]()
[Ans.
]
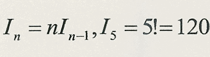
9. Using integration by parts find a reduction formula for the improper integral
![]()
and hence evaluate ![]()
[Ans.
].
MJC