Mathematics for Biomedical Engineering
Sample Problems
INTEGRATION II
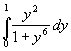
1. By making an appropriate substitution in each case evaluate the integrals:
(i) ![]()
(ii) 
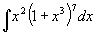
(iii) 
[Ans. (i)
(ii)
(iii)
]
2. By making the substitution
evaluate the indefinite integral
![]()
[Ans.
]
3. By making the substitution
evaluate the indefinite integral
![]()
[Ans.
or
]
4. By completing the square evaluate the following integrals
(i) ![]()
(ii) 
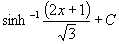
[Ans. (i)
(ii) Ans.
]
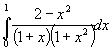
5. Evaluate the indefinite integrals:
(i) ![]()
(ii) ![]()
[Ans. (i)
(ii)
]
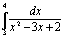
6. Evaluate the integrals:
(i) ![]()
(ii) ![]()
(iii) 
[Ans.(i)
(ii)
(iii)
]
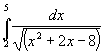
7. Using partial fractions evaluate the definite integrals:
(i) 
(ii) 
[Ans.(i)
(ii)
]
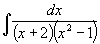
8. Using partial fractions evaluate the indefinite integral
![]()
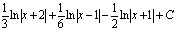
[Ans.
]
MJC