Program 8.2 - SIR model with wildlife vaccination
|
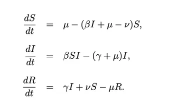
We now consider a second extension to the standard SIR model, introducing random vaccination at a rate v. Obviously vaccination only has an impact on susceptible individuals (vaccination of infecteds and recovereds is ineffective) and moves them into the recovered class. This is an ideal model of the random vaccinaton of wildlife populations where it is impossible to target the vaccination towards susceptible individuals.
![]() To allow a greater appreciation for the impact of vaccination, the model is first integrated until time tV without vaccination (v=0) after which time the vaccination campaign is begun.
Parameters
All rates are specified in days. |
