Program 8.3 - SIR model with pulsed vaccination
|
An alternative approach that has been tried in a variety of locations is pulse vaccination, where children in certain age cohorts are periodically immunized. The principal aim of pulse vaccination is to ensure the susceptible fraction is maintained below this level by periodically immunizing a fraction of the susceptible population. Pulse vaccination has gained in prominence as a result of its highly successful application in the field. Compared to “continual” pediatric vaccination, it has the additional advantage that it is often logistically simpler to implement. A well-publicized example is the spectacular control of poliomyelitis and measles in Central and South America.
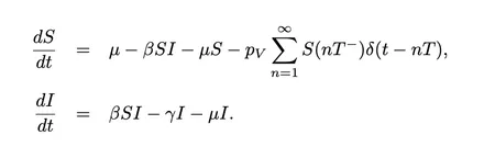
Here we assume that a proportion pV of susceptible individuals are vaccinated every T time units (days): ![]()
All rates are specified in days. |
