Program 7.2 - SIR metapopulation model for humans
Metapopulations are one of the simplest spatial models, but are also one of the most applicable to modeling many human diseases. The metapopulation concept is to subdivide the entire population into distinct “subpopulations”, each of which has independent epidemiological dynamics, together with limited interaction between the subpopulations.
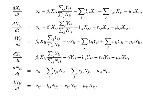
For human populations, permanent relocation from one population to another is sufficiently rare that it may be ignored as an epidemiologically significant force. Instead, it is more natural to think about commuters spreading the disease. Commuters live in one subpopulation but travel occasionally to another subpopulation. We therefore label Xij, Yij and Nij as the number of susceptibles, infecteds, and total hosts currently in population i that live in population j. When there are multiple communities within the metapopulation, and when the populations are of different sizes or the strengths of interaction differ, it is more informative to return to first principles to calculate the dynamics. From the standard SIR models we consider the number of individuals of each type in each spatial class:
For human populations, permanent relocation from one population to another is sufficiently rare that it may be ignored as an epidemiologically significant force. Instead, it is more natural to think about commuters spreading the disease. Commuters live in one subpopulation but travel occasionally to another subpopulation. We therefore label Xij, Yij and Nij as the number of susceptibles, infecteds, and total hosts currently in population i that live in population j. When there are multiple communities within the metapopulation, and when the populations are of different sizes or the strengths of interaction differ, it is more informative to return to first principles to calculate the dynamics. From the standard SIR models we consider the number of individuals of each type in each spatial class:

Here, the matrices l and r determine the rate that individuals leave from and return to their home subpopulation.
Note that we are using numbers (X,Y,Z) for greater clarity and assuming density dependent transmission.
Parameters
| n | is the number of sub-populations. Note that all parameters are vectors of size n, or matrices of size n × n |
| βi | is the transmission rate for each subpopulation; β is a vector of length n |
| γi | is called the removal or recovery rate for each subpopulation; γ is a vector of length n |
| νij | is the total birth rate for each spatial class; ν is a matrix of size n × n |
| μij | is the per capita death rate for each spatial class; μ is a vector of length n |
| lij | is the rate at which individuals leave their home subpopulation j and commute to subpopulation i. l is a matrix of size n × n |
| rij | is the rate at which individuals return their home subpopulation j from being in subpopulation i. r is a matrix of size n × n |
| Xij(0) | is the initial number of susceptible individuals in each spatial class; X(0) is a matrix of size n × n |
| Yij(0) | is the initial number of infectious individuals in each spatial class; Y(0) is a matrix of size n × n |
| Nij(0) | is the initial number of individuals in each spatial class; N(0) is a matrix of size n × n |
All rates are specified in days.
Requirements.
All parameters must be positive. It is also expected that the diagonal terms of the l and r matrices are all zero.
Files
MATLAB Code, Python Program, R Code, C++ Program, Parameters.