Program 7.3 - Coupled-lattice model with commuter-like coupling
Coupled lattice models are specialized metapopulation models, where subpopulations are arranged on a grid and coupling is generally to the nearest neighbors only.
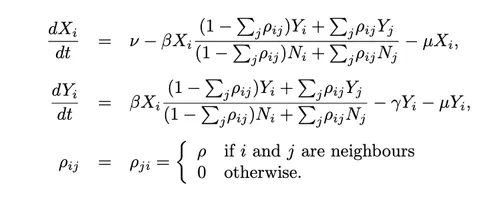
For a disease with SIR-type dynamics and “commuter-like” interaction terms,the governing equations become:
For a disease with SIR-type dynamics and “commuter-like” interaction terms,the governing equations become:

We stress that although these lattices are generally two-dimensional, for simplicity of notation we use a single variable to identify each subpopulation. In addition, given that this lattice formulation is slightly abstract, we assume identical parameters for each subpopulation (parameters are now scalars rather than vectors or matrices).
Note that we are using numbers (X,Y) for greater clarity and assuming density dependent transmission.
Parameters
| n | is the size of the lattice, such that there are n × n subpopulations arranged in a 2D grid |
| β | is the transmission rate within the subpopulation |
| γ | is called the removal or recovery rate |
| ν | is the total birth rate into each subpopulation, throughout we assume that ν=μN |
| μ | is the per capita death rate . |
| ρ | is the rate at which individuals interact with their neighbouring environment. Note ρ measures interaction and hence can be due to movement of susceptibles or infected individuals |
| X(0) | is the initial number of susceptible individuals in a subpopulation |
| nI | is the number of subpopulations (randomly distributed) that contain infection |
| Y(0) | is the initial number of infectious individuals in a subpopulation that contains infection. Y(0)=0.001*X(0) |
| N(0) | is the initial number of individuals in a subpopulation. |
All rates are specified in days.
Requirements.
All parameters must be positive, and X(0)+Y(0)≤N(0). It is also expected that Σj ρji ≤ 1, hence ρ≤1/(number of neighbours)
Files
MATLAB Code, Python Program, R Code, C++ Program, Parameters.