Program 7.8 - Pairwise SIS approximation model
|
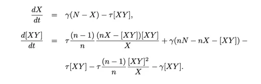
The simplest form of a pair-based approximation model is used to capture disease spread through a network of contacts (see Section 7.6 of this chapter). In its most basic form, this pair-wise model assumes an equal number of contacts per individual and no clustering; this approximation therefore corresponds most closely to the random network, although adaptations that capture clustering or heterogeneities are possible.
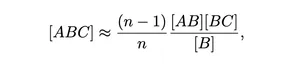
The method operates by modelling the number of susceptible-infected pairs in the network as well as simply the number of individuals. In principle to calculate the behaviour of pairs we need to know about triples: ![]() where the arrows indicate the direction of transmission. However, by making a suitable approximation,
![]() ![]()
Requirements. |


