Turbulent channel flow
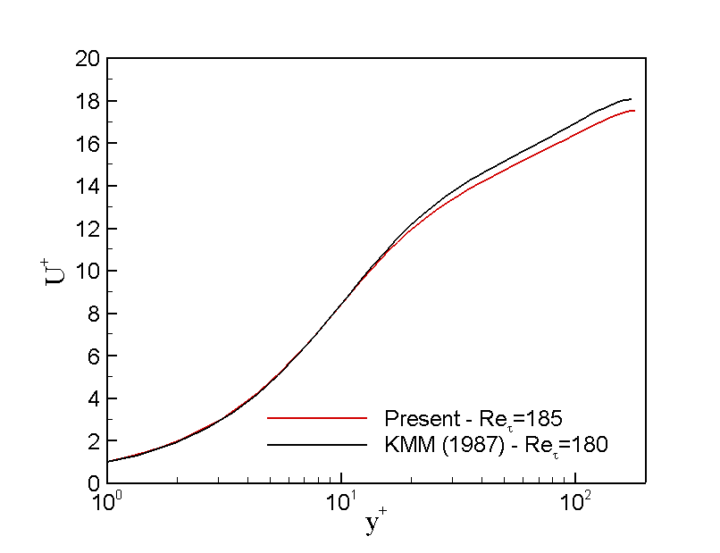
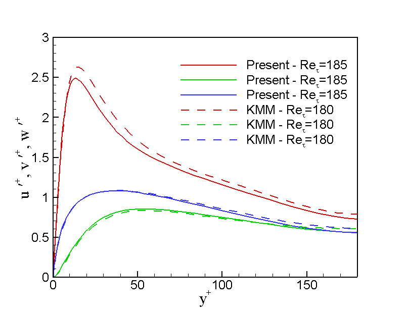
Fully-developed turbulent channel flow at Retau=180
- Domain Size: (4pi*2*4/3pi)
- Grid points: 128*129*128 (x,y,z)
- dt: 0.03 (Total 25000 steps)
- Graph

Developing turbulent channel flow
- Domain Size: (4pi*2*4/3pi)
- Grid points: 128*129*128 (x,y,z)
- dt: 0.02 (Total 10000 steps)
- Graph
Active cancellation in turbulent channel flow at Ret=180
- Domain Size: (4pi*2*4/3pi)
- Grid points: 128*129*128 (x,y,z)
- dt: 0.02 (Total 10000 steps, dt+=0.23)
- Detection position: y+=15 (NY=21)
- Drag reduction: 25% (Re¥ó=184.39 -> 159.70)
- Graph

