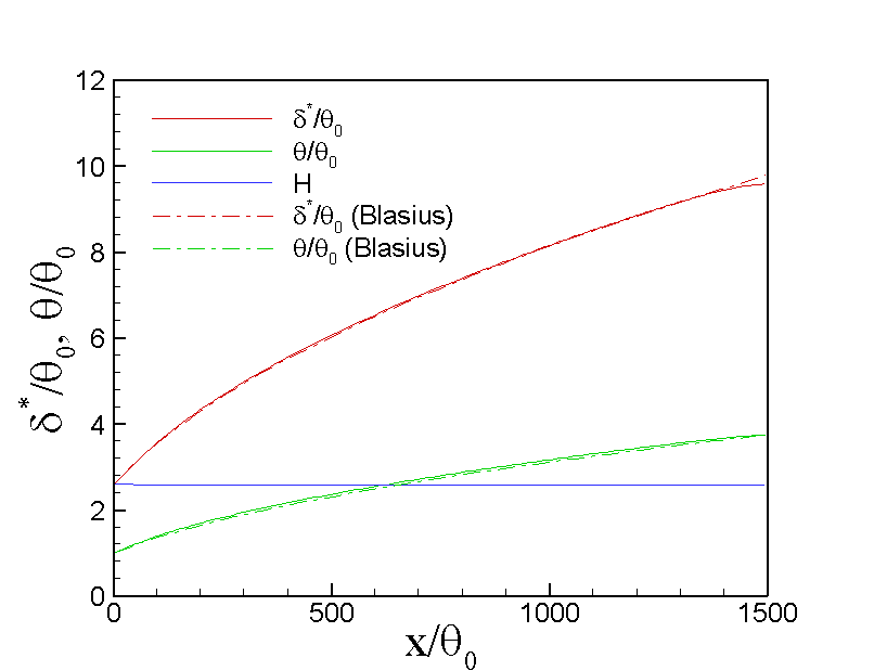
Turbulent boundary layer
Laminar boundary layer at retheta in=50
- Domain Size: (1500thetain*60thetain*2thetain)
- Grid points: 128*49*4 (x,y,z)
- dt: 0.5 (Total 80000 steps)
- Graph


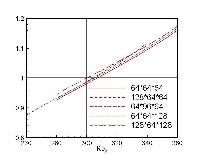
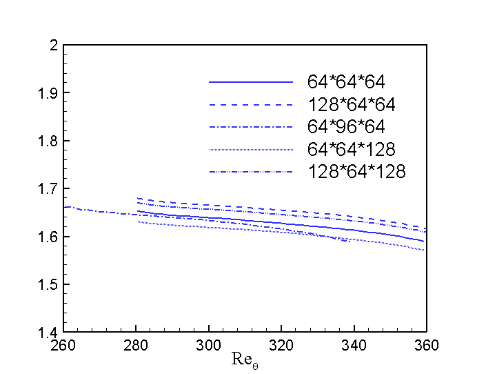
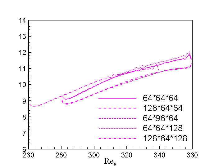
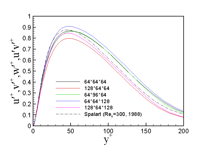
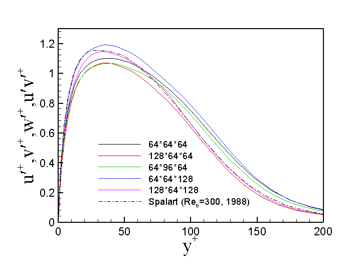
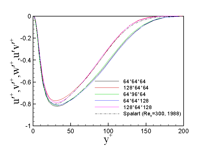
Inflow generation of Turbulent boundary layer at Retheta=300
- Recycling method of Lund et al. (1998)
- Domain Size: (80theta*30theta*40theta)
- Inlet position: 280theta
- Recycling position: 345theta (I=52)
- Grid points: 64*65*64 (x,y,z)
- dt: 0.3 (Total 20000 steps)
- Graph














