Test Case 1
Test Case 1
- Domain Size: (10R)
- Grid points: 128x192x256 (x,r,Θ)
- dt: 0.002 (Total 27200 steps)
- Ensemble: 4 realisations
- 1D data: Every 680 timesteps, Total 40 sets
- 3D data: Every 680 timesteps, Total 40 sets
- Graphs



Reference variables
- L=R, pipe radius,
- U=2×Um, laminar centreline velocity (Um=bulk velocity),
- T=R/U
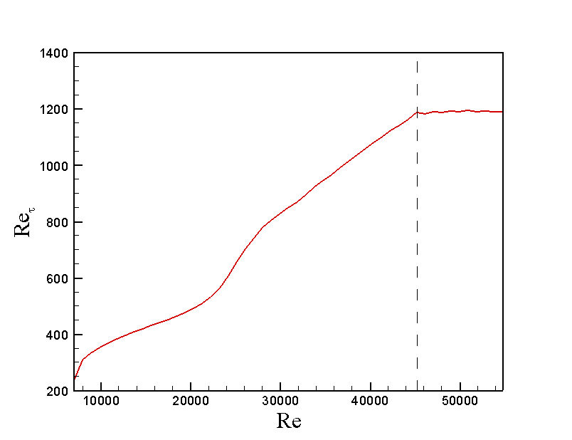
- Then, Re=7,000 (Reτ=228.6) to Re=45,200 (Reτ=1168)