Airbus Flow Control
Numerical Parameters
Domain size
(4π×2×2π) in streamwise, wall normal, and spanwise directions.
Number of grid points
(128×129×192)
Results from a larger computational domain (2π). (more results)
Results from a small computational domain (π). (more results)
Results with various gamma values
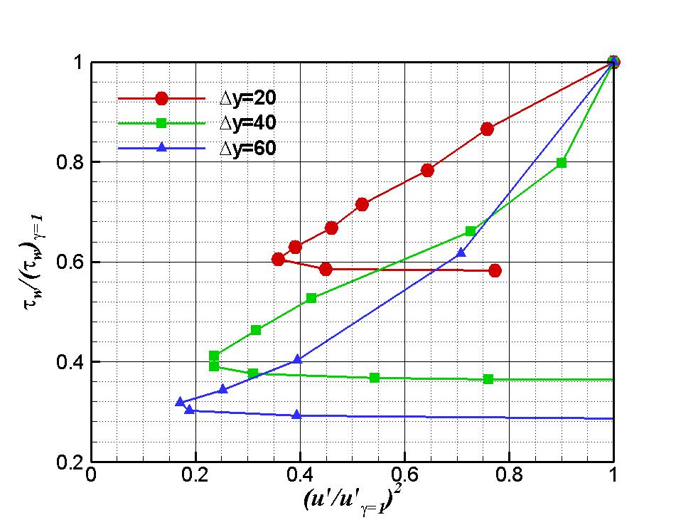
uu_max**2 vs. tau_w (or Cf) normalised by the gamma=1 values. (uu_max=RMS value of u' fluctuations)
uu_max**2 vs. u_tau_w normalised by the gamma=1 values.
This graph looks a lot similar to your graph.
uu_max**2 vs. Re_tau.
uu_max vs. Re_tau.
