Skip to main content Skip to navigation

Results with a larger domain of 2*pi

Mean velocity Profile

Um

um-con64 

Velocity Fluctuations

u'

uu-con64 

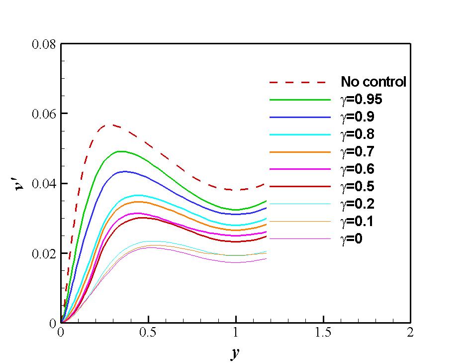
v'

vv-con64 

w'

ww-con64 

 

Let us know you agree to cookies