Cf
Results with various gamma values
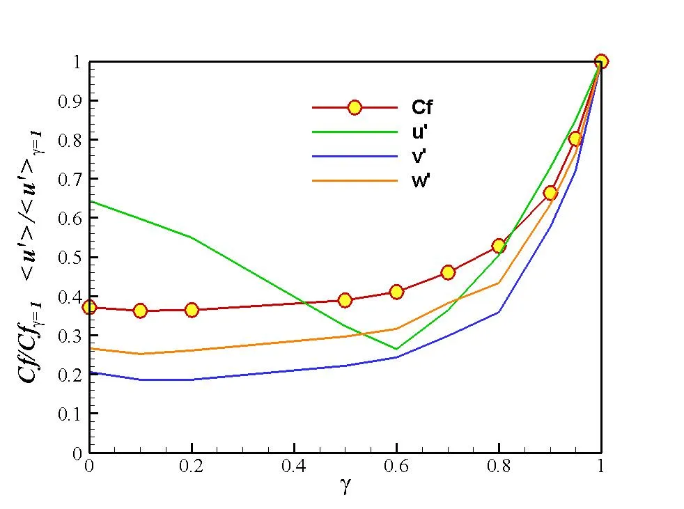
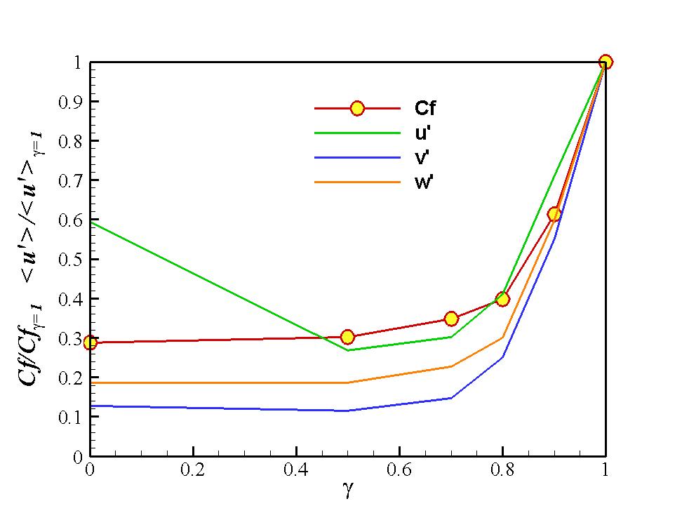
Cf history
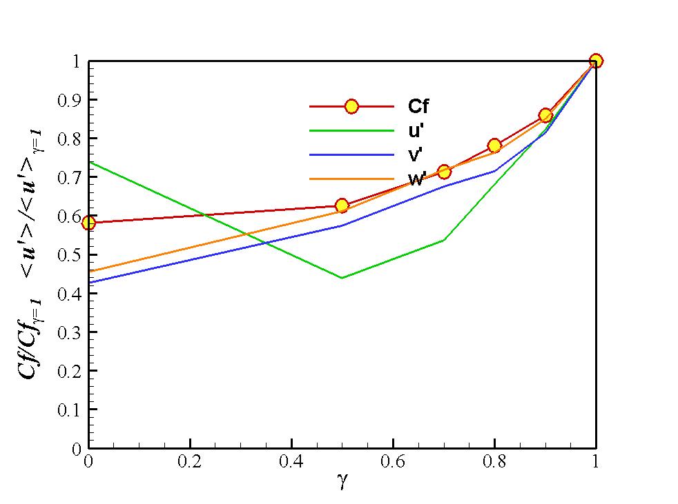
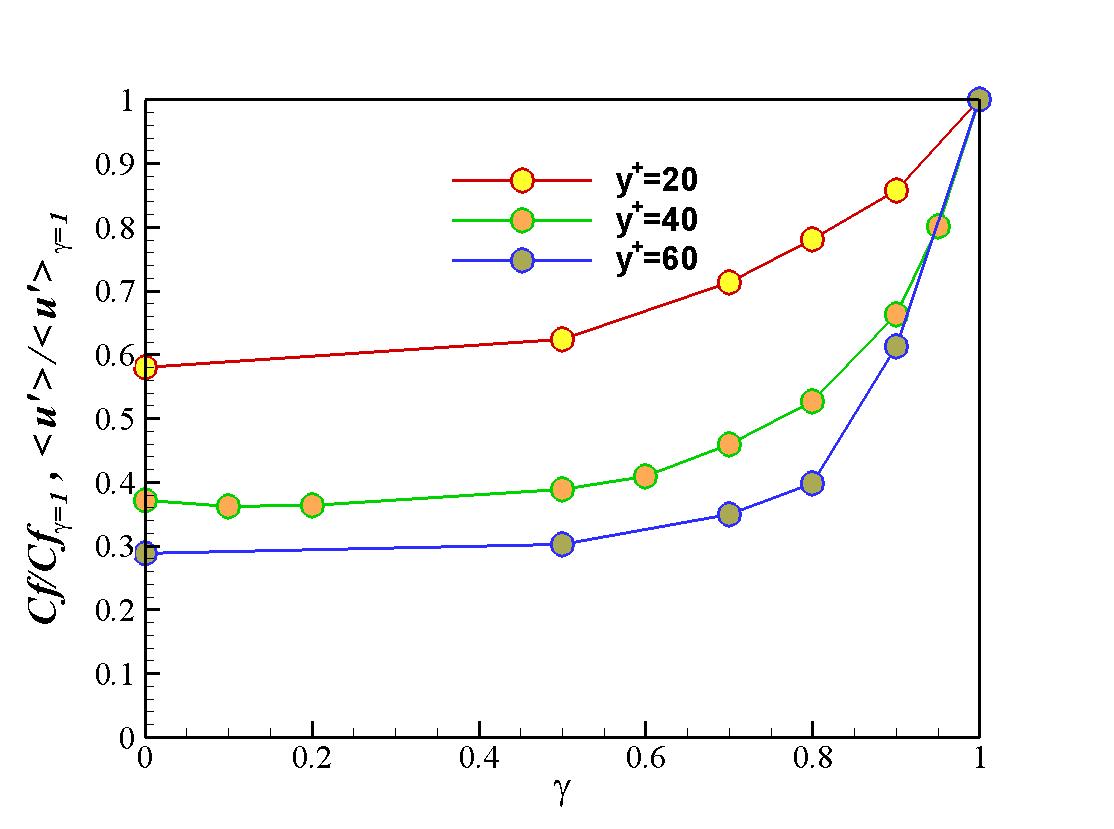
y+20

y+40
y+60

Cf and urms integrated from the wall up to y+=40.
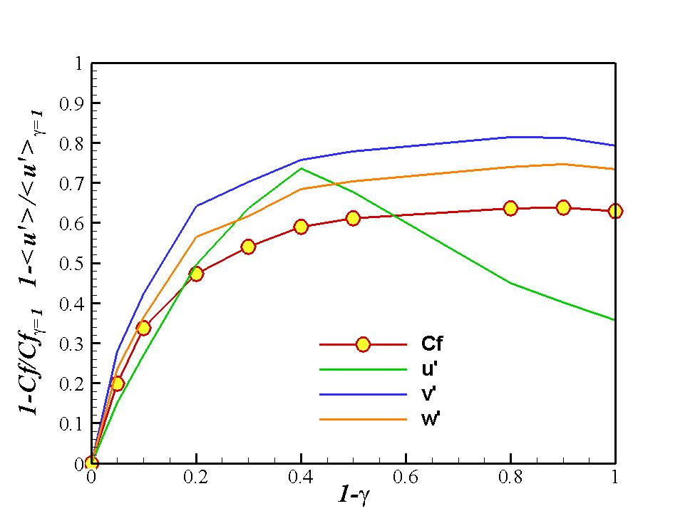
y+20
y+40
y+60
Drag reduction
Cf with a small domain

Low-speed streaks
Gamma=1

Gamma=0.9
Gamma=0.5
Gamma=0
Cf history


Drag reduction
Cf with a small domain

Low-speed streaks
Gamma=1

Gamma=0.9
Gamma=0.5
Gamma=0