Test Case 2
Test Case 2
- Domain Size: (8R)
- Grid points: 128x256x256 (x,r,Θ)
- dt: 0.001 to 37500th step. After 37500th step(Re=33000), dt=0.0005 (Total 54400 -> 71300 steps)
- Ensemble: 8 realisations
- 1D data: Every 500 timesteps, Total 100 sets
- 3D data: Every 2500 timesteps, Total 20 sets
- Re=7000, 13900, 20900, 27800, 34800 & 45200
- Re=7000, 14000, 21000, 28000, 35000 & 42000, 45200. See the results of the steady pipe flow.
- DT test: 0.001 and 0.0005
- Graph: see the profiles & contours



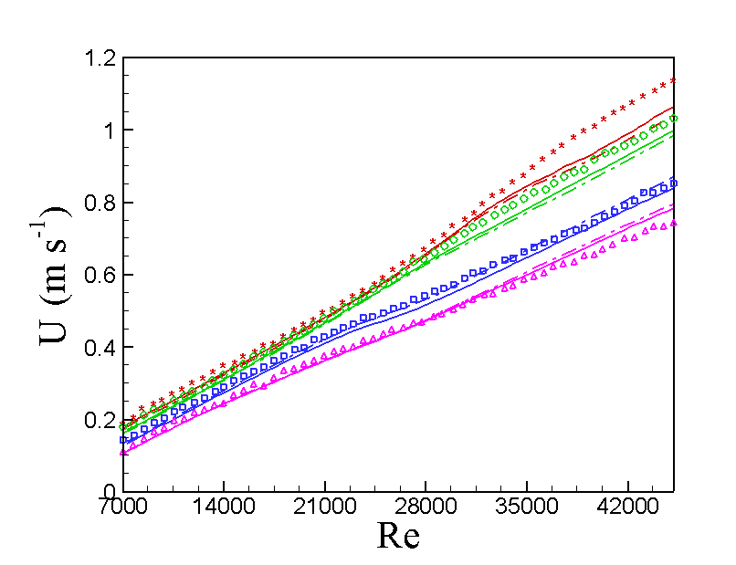
Solid lines: 128(z)*256(r)*256(theta), Dash-dot lines: 128(z)*192(r)*256(theta), Symbols: He and Jackson (JFM, 2000)
*: r/R=0 (0mm), circle: r/R=0.472 (12mm), square: r/R=0.827 (21mm), delta: r/R=0.925 (23.5mm)

128*256*256 case

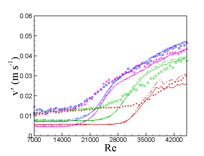
Solid lines: 128(z)*256(r)*256(theta), Dash-dot lines: 128(z)*192(r)*256(theta), Symbols: He and Jackson (JFM, 2000)
*: r/R=0 (0mm), circle: r/R=0.472 (12mm), square: r/R=0.827 (21mm), delta: r/R=0.925 (23.5mm)

128*256*256 case

Solid lines: 128(z)*256(r)*256(theta), Dash-dot lines: 128(z)*192(r)*256(theta), Symbols: He and Jackson (JFM, 2000)
*: r/R=0 (0mm), circle: r/R=0.472 (12mm), square: r/R=0.827 (21mm), delta: r/R=0.925 (23.5mm)

128*256*256 case

Solid lines: 128(z)*256(r)*256(theta), Dash-dot lines: 128(z)*192(r)*256(theta), Symbols: He and Jackson (JFM, 2000)
*: r/R=0 (0mm), circle: r/R=0.472 (12mm), square: r/R=0.827 (21mm), delta: r/R=0.925 (23.5mm)
Solid lines: 128(z)*256(r)*256(theta), Dash-dot lines: 128(z)*192(r)*256(theta), Symbols: He and Jackson (JFM, 2000)
*: r/R=0 (0mm), circle: r/R=0.472 (12mm), square: r/R=0.827 (21mm), delta: r/R=0.925 (23.5mm)



Reference variables
- L=R, pipe radius,
- U=2×Um, laminar centreline velocity (Um=bulk velocity),
- T=R/U
- Then, Re=7,000 (Reτ=230) to Re=45,200 (Reτ=1190)