Skip to main content Skip to navigation

Physics Department News

Select tags to filter on

More than 50 hadrons discovered at the LHC

Ever more new hadrons are being observed at the LHC, including several unexpected discoveries of tetraquark and pentaquark states.

Wed 03 Mar 2021, 14:21 | Tags: Research

Loschmidt echo singularities as dynamical signatures of strongly localized phases

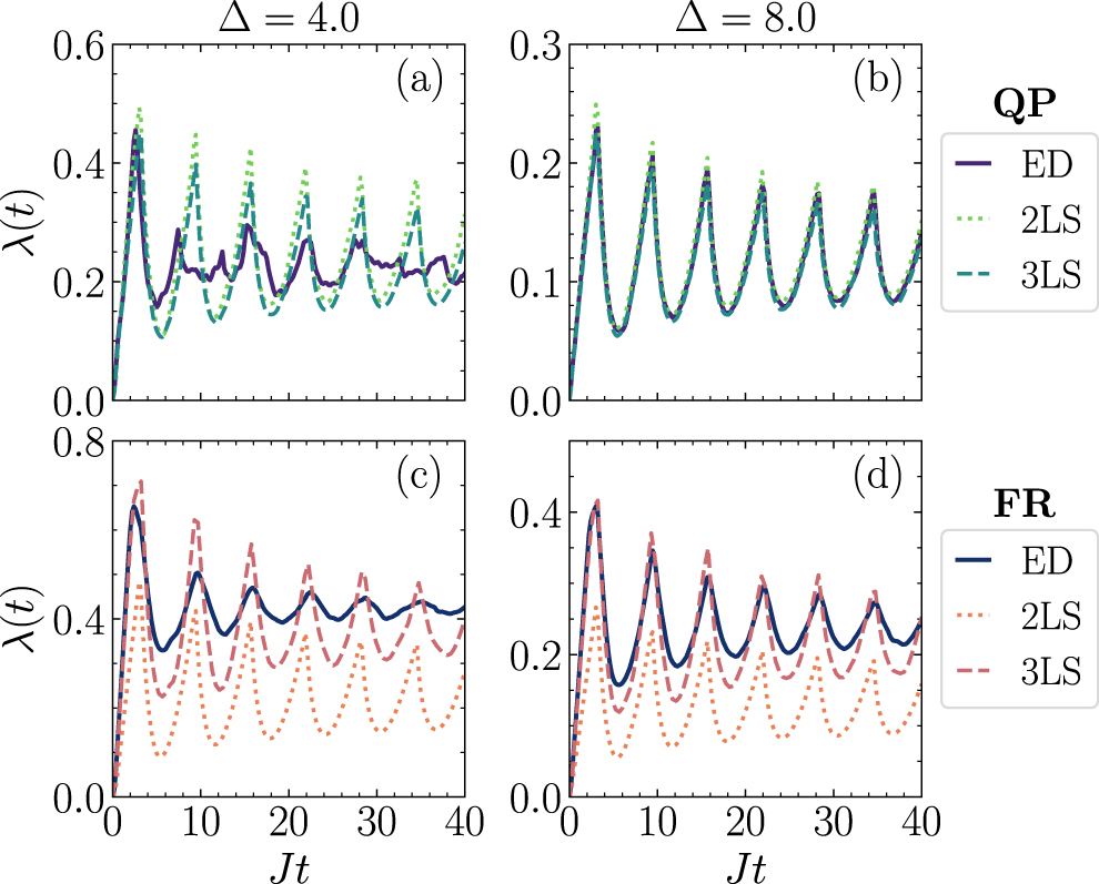
Quantum localization (single-body or many-body) comes with the emergence of local conserved quantities called l-bits—whose conservation is precisely at the heart of the absence of transport through the system. And in the just published article New J. Phys. 23, 1 (2021), d.in/dD9FqNy), two Warwick physicists and an international team show that these l-bits bear a dramatic universal signature, accessible to state-of-the-art quantum simulators, in the form of periodic cusp singularities in the Loschmidt echo following a quantum quench from a Néel/charge-density-wave state.

Mon 22 Feb 2021, 11:18 | Tags: Research

Warwick Institute of Engagement – Fellowships Update

New fellows of the Warwick Institute of Engagement have been announced! Physics is very well represented - congratulations to:

Ally Caldecote (Foundation Fellow)
Anne-Marie Broomhall (Foundation Fellow)
Aruni Fonseka (Associate Fellow)
Don Pollacco (Honorary Fellow)
Oksana Trushkevych (Associate Fellow)
Tishtrya Mehta (Associate Fellow).

They will work with the team (incl. Rachel Edwards, the Institute's Deputy Director) to deliver and promote high quality public engagement.

Fri 19 Feb 2021, 12:45 | Tags: Feature News, Outreach, Public Engagement and Media

Videos of the workshop "Theoretical and Mathematical Physic in Paris, Singapore and Warwick" now online

Video of Day 1, Video of Day 2

Theoretical and mathematical physicists at Cergy, Singapore and Warwick have many common research interests, for example mathematical and computational methods, artificial intelligence, quantum physics in all its manifestations, etc., and potential for future projects for collaboration. In order to communicate these better to each other, we met virtually for a 2-half-day workshop in July 2020 with selected presentations.

Researchers were free to present in-progress projects, talk about completed papers or give overview talks of their research interest. Similarly, PhD and MSc level students were encouraged to present their work, either as a talk or as a virtual poster.

Have a look at the vidoes to see if some of the work would be of interest to you and feel free to contact colleagues in Cergy, Singapore and of course also at Warwick.

Video of Day 1, Video of Day 2

Wed 21 Oct 2020, 22:44 | Tags: Research

Latest news Newer news Older news

Let us know you agree to cookies